Prev
Next
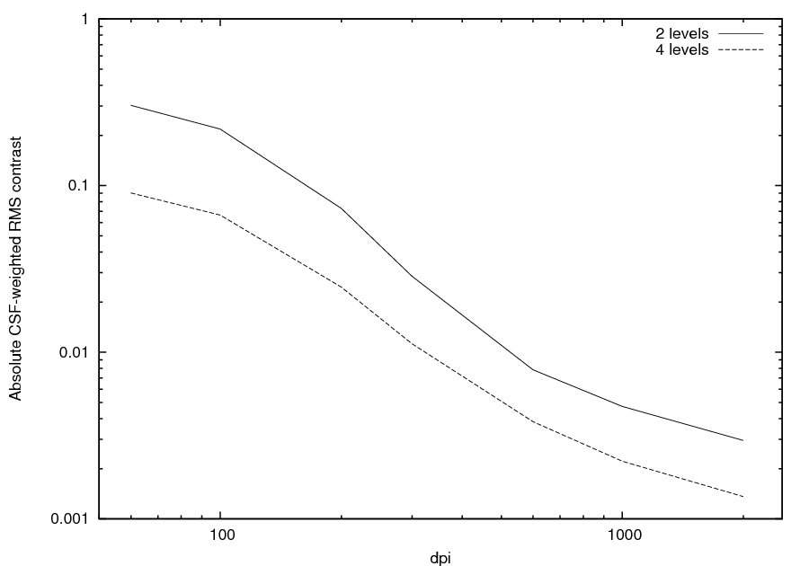
Contrast of halftones
Goal: minimize texture contrast
Need HVS assumption (otherwise contrast is invariant)